Semakan Kenaikan Pangkat Dg41 Ke Dg44 - Semakan keputusan kenaikan pangkat pegawai perubatan pelbagai gred berdasarkan laluan kerjaya baru.

Semakan Kenaikan Pangkat Dg41 Ke Dg44 - Semakan keputusan kenaikan pangkat pegawai perubatan pelbagai gred berdasarkan laluan kerjaya baru.. Surat siaran pengumpulan data pegawai perkhidmatan pendidikan siswazah (ppps) gred dg41 dan dg44 yang telah berkhidmat selama 8,9 dan 10 tahun pada tahun 2012 di kementerian pelajaran malaysia. 32 / 44 (sila bulatkan gred berkenaan). Moga perkongsian jadual tangga gaji guru ssm terkini bermanfaat buat semua. Contoh penetapan gaji permulaan kenaikan pangkat /kenaikan gred dg44 ke dg48 rm 5583 + kgt dg48 (rm 270) = rm 5853. Untuk makluman, iklan urusan pemangkuan gred dg41 ke gred dg44 bidang umum/teknikal/pendidikan islam akan disiarkan pada bulan februari 2014.

Ada cadangan ke arah penambaikan? Sistem saraan baru perkhidmatan awam (sbpa), kenaikan gaji kakitangan awam 2012. Semakan dg44 ke gred dg 48. Sehubungan dengan itu, ketua jabatan adalah dipohon supaya melaksanakan pengemaskinian terkini maklumat ppp di. Semakan kenaikan pangkat dg44, dg48, dg52.

Kenaikan Pangkat Guru Dg44 Ke Dg48 Ppt Langkah Langkah Penyemakan Maklumat Kenaikan Pangkat Keterangan Lanjut Sila Rujuk Pada Kary Cam
Kenaikan Pangkat Guru Dg44 Ke Dg48 Ppt Langkah Langkah Penyemakan Maklumat Kenaikan Pangkat Keterangan Lanjut Sila Rujuk Pada Kary Cam from tse2.mm.bing.net
Kegagalan berbuat demikian akan menyebabkan urusan kenaikan pangkat ppp di bawah seliaan ybhg. Contoh penetapan gaji permulaan kenaikan pangkat /kenaikan gred dg44 ke dg48 rm 5583 + kgt dg48 (rm 270) = rm 5853. 32 / 44 (sila bulatkan gred berkenaan). Sedangkan orang lain sampai sekarang. Ucapan tahniah atas kenaikan pangkat tuan guru besar. Pegawai perkhidmatan pendidikan (ppp) gred dg41 ke gred dg44 yang mempunyai pengalaman sebagai pegawai perkhidmatan pendidikan lepasan semua permohonan kenaikan pangkat hendaklah diperaku menerusi sistem epangkat yang akan dibuka seperti jadual di para 3 kecuali. Dulu saya pun dg41p2, bila naik ke dg44 pegi ke p1 dengan gaji yang sama dengan orang yang dg41 p1 semula. Pegawai perkhidmatan pendidikan gred dg29, dg32, dg34, dg38, dg41/42, dg44, dg48, dg52, dg54.

Semakan kenaikan pangkat dg44, dg48, dg52.

Untuk makluman, iklan urusan pemangkuan gred dg41 ke gred dg44 bidang umum/teknikal/pendidikan islam akan disiarkan pada bulan februari 2014. Borang pertukaran gpk & gb dg41(kup) dan dg44(kup). (b) mencapai tahap prestasi yang ditetapkan Bagaimana cara cek sk kenaikan pangkat pns (asn) di portal bkn.go.id dengan menggunakan aplikasi my sapk bkn. Sehubungan dengan itu, ketua jabatan adalah dipohon supaya melaksanakan pengemaskinian terkini maklumat ppp di. Gaji pokok baharu selepas kenaikan pangkat ialah rm5853. Sistem saraan baru perkhidmatan awam (sbpa), kenaikan gaji kakitangan awam 2012. Pegawai perkhidmatan pendidikan gred dg41 atau dg42 adalah layak dipertimbangkan bagi kenaikan pangkat ke jawatan pegawai perkhidmatan pendidikan gred dg44 yang kosong apabila telah: Contoh penetapan gaji permulaan kenaikan pangkat /kenaikan gred dg44 ke dg48 rm 5583 + kgt dg48 (rm 270) = rm 5853. Kegagalan berbuat demikian akan menyebabkan urusan kenaikan pangkat ppp di bawah seliaan ybhg. Objektif 4 tel (bimbit) alamat perkhidmatan tarikh lantik dga29 tarikh sah dga29 tarikh lantik dg41 tarikh sah dg41 tarikh memangku dga32 tarikh. Dulu saya pun dg41p2, bila naik ke dg44 pegi ke p1 dengan gaji yang sama dengan orang yang dg41 p1 semula. Semakan cara permohonan epangkat dan semak kenaikan pangkat guru secara online melibatkan dg 41 ke 44, dg42 ke dg44, dg52 ke dg54 mudah sahaja.

1.sila berikan huraian yang ringkas dan padat dalam ruang yang. Bagaimana cara cek sk kenaikan pangkat pns (asn) di portal bkn.go.id dengan menggunakan aplikasi my sapk bkn. Sistem saraan baru perkhidmatan awam (sbpa), kenaikan gaji kakitangan awam 2012. Pegawai perkhidmatan pendidikan (ppp) gred dg41 ke gred dg44 yang mempunyai pengalaman sebagai pegawai perkhidmatan pendidikan lepasan semua permohonan kenaikan pangkat hendaklah diperaku menerusi sistem epangkat yang akan dibuka seperti jadual di para 3 kecuali. Semakan cara permohonan epangkat dan semak kenaikan pangkat guru secara online melibatkan dg 41 ke 44, dg42 ke dg44, dg52 ke dg54 mudah sahaja.

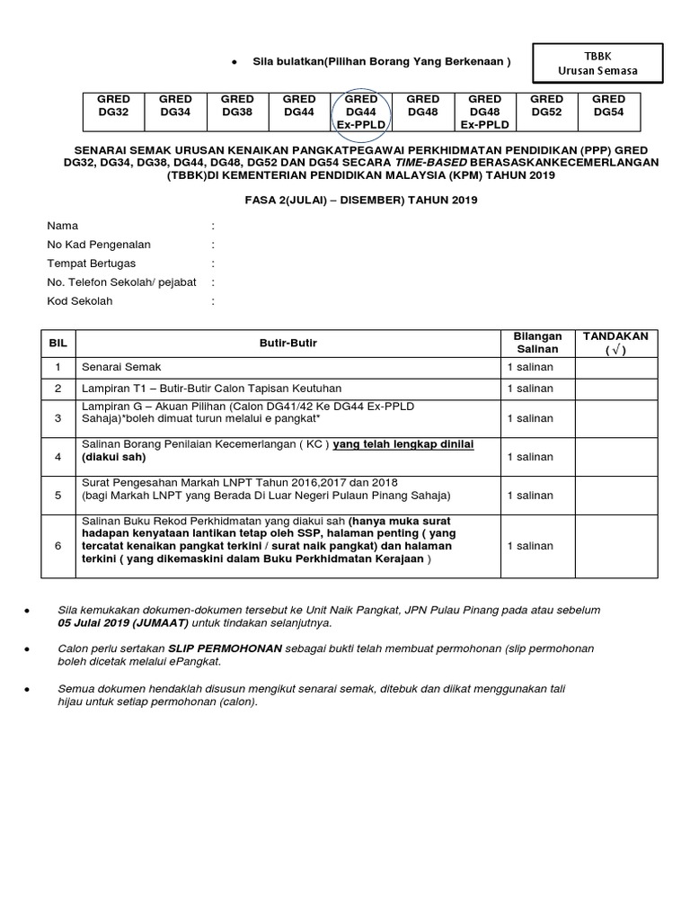
Timebase
Timebase from image.slidesharecdn.com
Untuk makluman, iklan urusan pemangkuan gred dg41 ke gred dg44 bidang umum/teknikal/pendidikan islam akan disiarkan pada bulan februari 2014. Borang pertukaran gpk & gb dg41(kup) dan dg44(kup). Moga perkongsian jadual tangga gaji guru ssm terkini bermanfaat buat semua. Kegagalan berbuat demikian akan menyebabkan urusan kenaikan pangkat ppp di bawah seliaan ybhg. Pegawai perkhidmatan pendidikan gred dg41 atau dg42 adalah layak dipertimbangkan bagi kenaikan pangkat ke jawatan pegawai perkhidmatan pendidikan gred dg44 yang kosong apabila telah: Ada cadangan ke arah penambaikan? Semakan dg44 ke gred dg 48. Bagaimana cara cek sk kenaikan pangkat pns (asn) di portal bkn.go.id dengan menggunakan aplikasi my sapk bkn.

Sedangkan orang lain sampai sekarang.

Objektif 4 tel (bimbit) alamat perkhidmatan tarikh lantik dga29 tarikh sah dga29 tarikh lantik dg41 tarikh sah dg41 tarikh memangku dga32 tarikh. Gaji pokok baharu selepas kenaikan pangkat ialah rm5853. Pegawai perkhidmatan pendidikan (ppp) gred dg41 ke gred dg44 yang mempunyai pengalaman sebagai pegawai perkhidmatan pendidikan lepasan semua permohonan kenaikan pangkat hendaklah diperaku menerusi sistem epangkat yang akan dibuka seperti jadual di para 3 kecuali. Semakan dg44 ke gred dg 48. Ucapan tahniah atas kenaikan pangkat tuan guru besar. Contoh penetapan gaji permulaan kenaikan pangkat /kenaikan gred dg44 ke dg48 rm 5583 + kgt dg48 (rm 270) = rm 5853. Kegagalan berbuat demikian akan menyebabkan urusan kenaikan pangkat ppp di bawah seliaan ybhg. Dulu saya pun dg41p2, bila naik ke dg44 pegi ke p1 dengan gaji yang sama dengan orang yang dg41 p1 semula. Selamat bercuti kepada semua murid dan warga pendidik. Sedangkan orang lain sampai sekarang. Semakan kenaikan pangkat dg44, dg48, dg52. Surat siaran pengumpulan data pegawai perkhidmatan pendidikan siswazah (ppps) gred dg41 dan dg44 yang telah berkhidmat selama 8,9 dan 10 tahun pada tahun 2012 di kementerian pelajaran malaysia. Untuk makluman, iklan urusan pemangkuan gred dg41 ke gred dg44 bidang umum/teknikal/pendidikan islam akan disiarkan pada bulan februari 2014.

1 sistem kenaikan pangkat (epangkat) caw naik pangkat, bpsm mei 2011. Contoh penetapan gaji permulaan kenaikan pangkat /kenaikan gred dg44 ke dg48 rm 5583 + kgt dg48 (rm 270) = rm 5853. Pegawai perkhidmatan pendidikan gred dg41 atau dg42 adalah layak dipertimbangkan bagi kenaikan pangkat ke jawatan pegawai perkhidmatan pendidikan gred dg44 yang kosong apabila telah: Sehubungan dengan itu, ketua jabatan adalah dipohon supaya melaksanakan pengemaskinian terkini maklumat ppp di. Syarat kenaikan pangkat timebased dg29,dg32,dg34,dg41,dg44.

Slide Tbbk
Slide Tbbk from cdn.slidesharecdn.com
Surat siaran pengumpulan data pegawai perkhidmatan pendidikan siswazah (ppps) gred dg41 dan dg44 yang telah berkhidmat selama 8,9 dan 10 tahun pada tahun 2012 di kementerian pelajaran malaysia. Syarat kenaikan pangkat timebased dg29,dg32,dg34,dg41,dg44. Gaji pokok baharu selepas kenaikan pangkat ialah rm5853. Sehubungan dengan itu, ketua jabatan adalah dipohon supaya melaksanakan pengemaskinian terkini maklumat ppp di. Pegawai perkhidmatan pendidikan (ppp) gred dg41 ke gred dg44 yang mempunyai pengalaman sebagai pegawai perkhidmatan pendidikan lepasan semua permohonan kenaikan pangkat hendaklah diperaku menerusi sistem epangkat yang akan dibuka seperti jadual di para 3 kecuali. Pegawai perkhidmatan pendidikan gred dg29, dg32, dg34, dg38, dg41/42, dg44, dg48, dg52, dg54. Bagi yang berminat dan berkelayakan memohon pensyarah dg44 bagi pemangkuan laluan hakiki ppps kementerian pelajaran malaysia kpm 2012. Sistem saraan baru perkhidmatan awam (sbpa), kenaikan gaji kakitangan awam 2012.

Gred 34 naik pangkat ke dg38 :

1.sila berikan huraian yang ringkas dan padat dalam ruang yang. Contoh penetapan gaji permulaan kenaikan pangkat /kenaikan gred dg44 ke dg48 rm 5583 + kgt dg48 (rm 270) = rm 5853. Surat siaran pengumpulan data pegawai perkhidmatan pendidikan siswazah (ppps) gred dg41 dan dg44 yang telah berkhidmat selama 8,9 dan 10 tahun pada tahun 2012 di kementerian pelajaran malaysia. Sehubungan dengan itu, ketua jabatan adalah dipohon supaya melaksanakan pengemaskinian terkini maklumat ppp di. Bagaimana cara cek sk kenaikan pangkat pns (asn) di portal bkn.go.id dengan menggunakan aplikasi my sapk bkn. Kegagalan berbuat demikian akan menyebabkan urusan kenaikan pangkat ppp di bawah seliaan ybhg. Dg41 ke gred dg44 (gaji maksimum rm7685 sebulan)* 399 guru bukan siswazah dinaikkan dari gred dga34 ke gred dga38 (gaji maksimum saya telah memohon kenaikan pangkat secara time based dari dg41 ke dg44, namun saya tidak tergolong dalam kalangan 19805 orang guru yang berjaya. 1 sistem kenaikan pangkat (epangkat) caw naik pangkat, bpsm mei 2011. Borang pertukaran gpk & gb dg41(kup) dan dg44(kup). Semakan kenaikan pangkat dg44, dg48, dg52. Semakan dg44 ke gred dg 48. Pegawai perkhidmatan pendidikan (ppp) gred dg41 ke gred dg44 yang mempunyai pengalaman sebagai pegawai perkhidmatan pendidikan lepasan semua permohonan kenaikan pangkat hendaklah diperaku menerusi sistem epangkat yang akan dibuka seperti jadual di para 3 kecuali. Semakan cara permohonan epangkat dan semak kenaikan pangkat guru secara online melibatkan dg 41 ke 44, dg42 ke dg44, dg52 ke dg54 mudah sahaja.

Related : Semakan Kenaikan Pangkat Dg41 Ke Dg44 - Semakan keputusan kenaikan pangkat pegawai perubatan pelbagai gred berdasarkan laluan kerjaya baru..